近日,太阳城博彩
博士研究生刘天赐与导师梁云峰副教授、梁恩维教授及其他合作者的基于DAMPE电子观测限制重暗物质和memory-burdened原初黑洞的研究工作以“Constraining the parameters of heavy dark matter and memory-burdened primordial black holes with DAMPE electron measurements”为题被期刊Journal of High Energy Astrophysics接收。
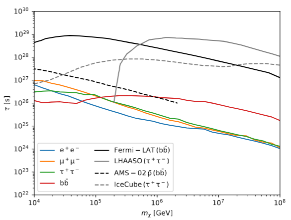
若原初黑洞(PBHs)的霍金辐射受memory burden效应抑制,极小质量的PBHs仍能存活至今,从而打开一个新的质量窗口。PBHs霍金辐射与重暗物质(HDM)衰变均可产生高能电子,本工作基于DAMPE宇宙线电子观测数据,对HDM的衰变寿命和memory-burdened PBHs的暗物质丰度进行限制,并讨论了电子谱高能上升趋势为暗物质成分的可能性。尽管本工作给出的限制均弱于由伽马射线观测所给出的结果,但基于宇宙线电子的限制可对其他结果进行验证和补充。构成DAMPE电子谱上升所需的暗物质参数空间均被现有观测所排除。HDM衰变寿命和memory-burdened PBHs丰度的限制结果分别如下图所示。


论文作者:刘天赐(博士生),朱本阳,梁云峰(通讯作者),胡小松,梁恩维(通讯作者)
文章链接://arxiv.org/abs/2503.13192