伽马射线暴(GRB)的理论研究表明,其观测特征在正轴观测(on-axis)和偏轴观测(off-axis)下呈现明显差异。作为一个邻近的事件,GRB 170817A为探究GRB偏轴观测提供了独特机会。现有研究表明,GRB 170817A的辐射起源可解释为对结构化喷流进行偏轴观测所致——喷流由一个狭窄的极端相对论性喷流核心和一个较宽的温和相对论性茧组成。
在 Wang et al. (2024) 的研究中,我们构建了参数化的 GRB 结构化喷流模型,并探讨了混合喷流茧(MJC)区域中剪切加速电子的辐射。研究表明,在正轴观测下,剪切加速电子与喷流核心激波加速电子的同步辐射(Syn)和同步自康普顿辐射(SSC)相互叠加,可成功解释某些GRB瞬时辐射的能谱特征。
本文在考虑混MJC区域和喷流核心加速电子的基础上,重点研究了结构化喷流视角效应的影响。研究发现,观测到MJC区域剪切加速电子的辐射对视角变化不敏感,其Syn峰在红外波段, SSC峰在数百keV波段。相比之下,喷流核心中激波加速电子的辐射因相对论集束效应而显著减弱。在偏轴观测场景中,瞬时辐射光谱主要由剪切加速电子的辐射所主导。

图1:剪切加速电子同步辐射(左)和同步自康普顿辐射(右)随视角的变化

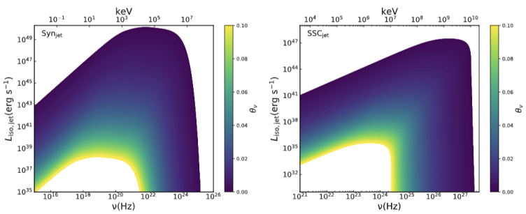
图2:激波加速电子同步辐射(左)和同步自康普顿辐射(右)随视角的变化
通过将茧区内边缘的速度设置为0.9c,磁场强度设置为21 G,注入的初始电子洛伦兹因子设置为103,视角设置为0.44 rad,模型可以较好地解释GRB 170817A的瞬时伽马射线谱。

图3:GRB 170817A的观测数据和模型曲线
通过对模型进一步的偏轴观测研究,我们能够为理解 GRB 瞬时辐射特征提供更详细的信息。研究还表明,红外/光学和X射线波段的联合观测对于验证我们的模型至关重要。
论文题目:Shear Particle Acceleration in Structured Gamma-Ray Burst Jets: II. Viewing Angle Effect on the Prompt Emission and Application to GRB 170817A
相关成果已被《The Astrophysical Journal》杂志接收
论文作者:王子祺(博士生),黄晓利(通讯作者),梁恩维(通讯作者)
论文链接: