伽马暴喷流的洛伦兹因子及其演化对于理解伽马暴物理极其重要。伽马暴喷流可能是磁能主导或是物质能主导的,不同组分的喷流其洛伦兹因子的演化行为会截然不同。在物质能主导的喷流中,瞬时辐射可能产生于喷流滑行的阶段;在磁能主导的喷流中,瞬时辐射可能形成于磁场耗散过程,继而伴随喷流的加速。
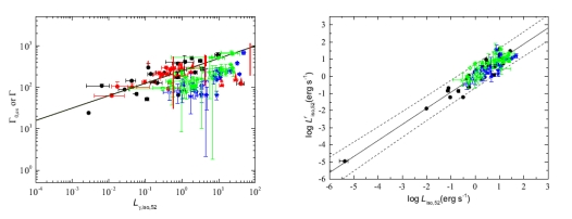
喷流洛伦兹因子可以基于瞬时辐射阶段双光子湮灭成正负电子对所造成的能谱高能截断来计算。以往的研究往往只关注伽马暴进程中特定阶段的洛伦兹因子,喷流洛伦兹因子在伽马暴进程中的演化并没有被关注和研究。研究小组基于费米卫星所观测到的伽马暴瞬时辐射数据,寻找具有高能截断能谱特征的伽马暴脉冲,并拟合光变和能谱计算对应于不同脉冲的喷流洛伦兹因子。他们得到9个伽马暴,每个伽马暴均有2个或以上脉冲具有高能截断能谱特征,估计了这些暴不同脉冲的喷流洛伦兹因子或上限,发现大部分伽马暴的喷流洛伦兹在一定范围内波动,并没有表现出特定的演化趋势;GRB 130821A、GRB 160509A 和GRB 160625B的喷流洛伦兹因子随时间增加。我们也研究了样本脉冲的Liso、Ep,z和洛伦兹因子三者之间的关系,相关关系与前人研究结果一致。研究工作论文被《天体物理学杂志》(The Astrophysical Journal)接收发表。

图 1:GRB 130821A和GRB 160509A喷流洛伦兹因子的演化

图 2:Liso、Ep,z和洛伦兹因子三者之间的关系
该工作得到了国家自然科学基金(基金号:12273005、12133003、U1938201、U1938106)、广西自然科学基金(基金号:2018GXNSFFA281010、2018GXNSFGA281007、2018GXNSFDA281033)和CSST对重要突发天体事件的响应研究(CMS-CSST-2021-B11)的支持。
论文标题:Jets in a Gamma-Ray Burst During its Prompt Emission: Evolution of Lorentz Factor.
作者:李静(博)、林达斌(通讯作者)、陆睿静(通讯作者)、王鋆、蒋璐遥、杜绅士、梁文强(硕)、王祥高、梁恩维(通讯作者)
论文arXiv地址: